您当前的位置:首页 / 优米体育中心怎么样啊 / 蛇形联轴器系列 / TGL型尼龙套鼓形齿式联轴器
优米体育中心怎么样啊
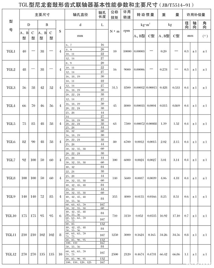
yo米直播nba提供TGL型尼龙套鼓形齿式联轴器具有拆装方便,快速安装等特点,广泛用于连接/固定轮毂孔和零件的轴,例如齿轮,锥齿轮,链轮,叶轮,凸轮,皮带轮和飞轮等轴的联结固定,咨询电话:18906872378
产品详情


相关信息
在新时代,有着新的挑战,米优app在哪下本着“以质量求生存,以服务求发展”的企业理念,继续奋进,不断创新
在线留言
寻找可靠的阀门配件来丰富您的产品线,如果有任何疑问欢迎留言咨询yo米直播nba
Ruian Baodelong Machinery Parts Co., Ltd
手机网站